RXS0603+42-N IR detection object #3543

Color images and BPZ results
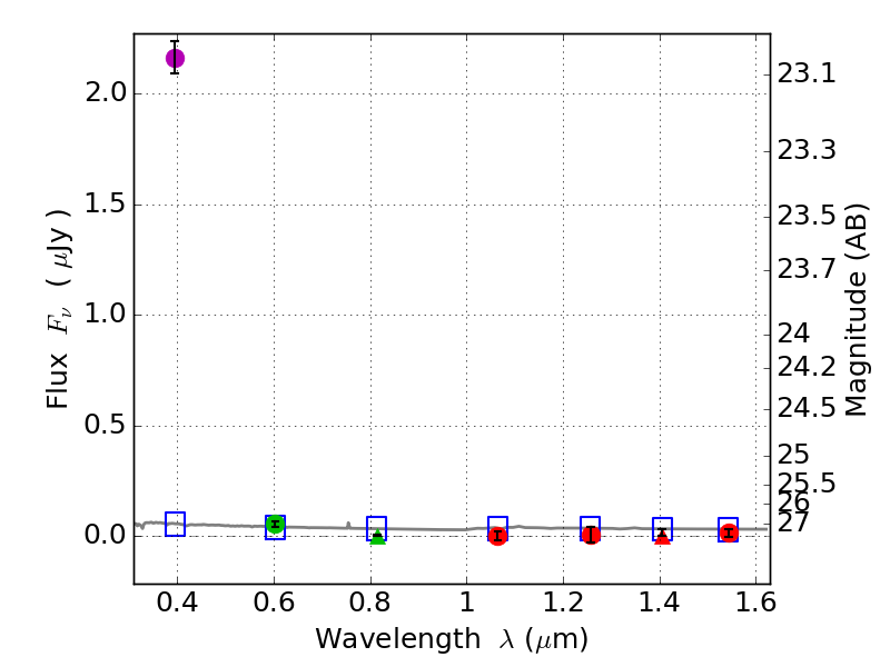
Catalog: 3543.cat
Black segments are analyzed here.   Roll mouse over color images to view segments.
Best viewed in a wide browser window (1200 pixels or more).   Download SED & P(z) plots to view larger versions.
In P(z) plots: Yellow lines mark the cluster redshift z = 0.228,  

Object #3543   x,y = (1580, 2363)   RA, Dec = (06:03:19.128, 42:15:39.60) = (90.82970, 42.26100)   BPZ = 1.700 [1.383--2.220]   type = 11.00 (SB11_A_0_l)   stellarity = 0.65   chisq2 = 218.90   ODDS = 0.47   z_cluster = 0.228