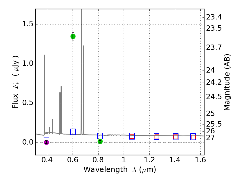
RXS0603+42-N IR detection object #3541

Color images and BPZ results
Catalog: 3541.cat
Black segments are analyzed here.   Roll mouse over color images to view segments.
Best viewed in a wide browser window (1200 pixels or more).   Download SED & P(z) plots to view larger versions.
In P(z) plots: Yellow lines mark the cluster redshift z = 0.228,  

Object #3541   x,y = (4532, 2362)   RA, Dec = (06:03:03.168, 42:15:39.24) = (90.76320, 42.26090)   BPZ = 0.022 [0.011--3.314]   type = 11.00 (SB11_A_0_l)   stellarity = 0.65   chisq2 = 712.80   ODDS = 0.56   z_cluster = 0.228