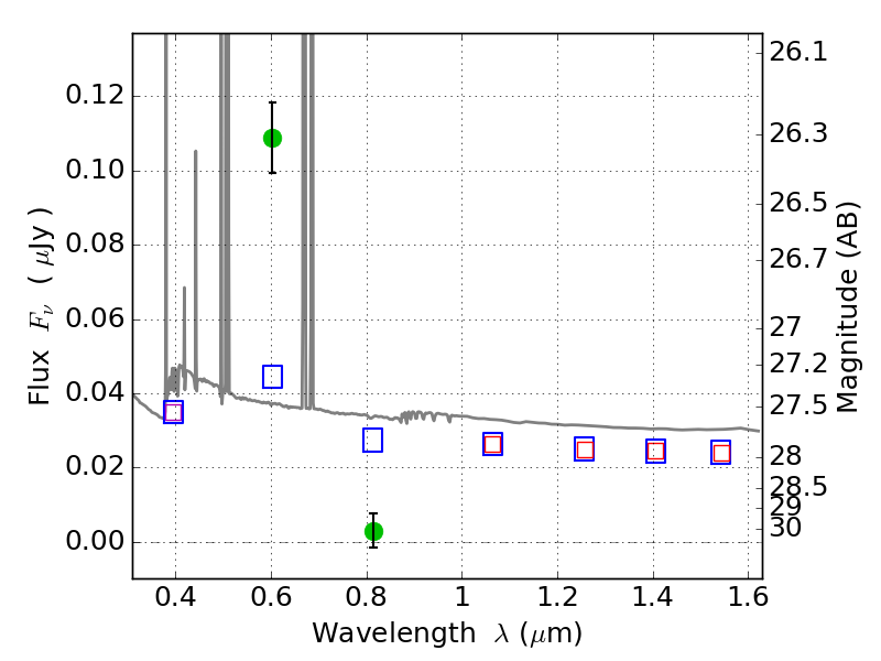
RXS0603+42-N IR detection object #3528

Color images and BPZ results
Catalog: 3528.cat
Black segments are analyzed here.   Roll mouse over color images to view segments.
Best viewed in a wide browser window (1200 pixels or more).   Download SED & P(z) plots to view larger versions.
In P(z) plots: Yellow lines mark the cluster redshift z = 0.228,  

Object #3528   x,y = (1490, 2367)   RA, Dec = (06:03:19.608, 42:15:39.60) = (90.83170, 42.26100)   BPZ = 0.023 [0.011--2.851]   type = 11.00 (SB11_A_0_l)   stellarity = 0.71   chisq2 = 61.79   ODDS = 0.58   z_cluster = 0.228