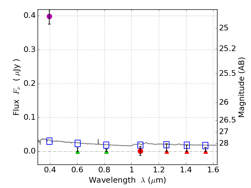
RXS0603+42-N IR detection object #3511

Color images and BPZ results
Catalog: 3511.cat
Black segments are analyzed here.   Roll mouse over color images to view segments.
Best viewed in a wide browser window (1200 pixels or more).   Download SED & P(z) plots to view larger versions.
In P(z) plots: Yellow lines mark the cluster redshift z = 0.228,  

Object #3511   x,y = (1698, 2372)   RA, Dec = (06:03:18.480, 42:15:39.96) = (90.82700, 42.26110)   BPZ = 1.700 [1.030--2.317]   type = 11.00 (SB11_A_0_l)   stellarity = 0.67   chisq2 = 64.35   ODDS = 0.41   z_cluster = 0.228