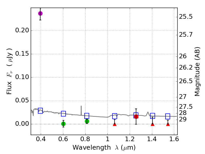
RXS0603+42-N IR detection object #3509

Color images and BPZ results
Catalog: 3509.cat
Black segments are analyzed here.   Roll mouse over color images to view segments.
Best viewed in a wide browser window (1200 pixels or more).   Download SED & P(z) plots to view larger versions.
In P(z) plots: Yellow lines mark the cluster redshift z = 0.228,  

Object #3509   x,y = (3541, 2374)   RA, Dec = (06:03:08.520, 42:15:40.32) = (90.78550, 42.26120)   BPZ = 1.730 [1.227--2.173]   type = 11.00 (SB11_A_0_l)   stellarity = 0.91   chisq2 = 54.55   ODDS = 0.52   z_cluster = 0.228