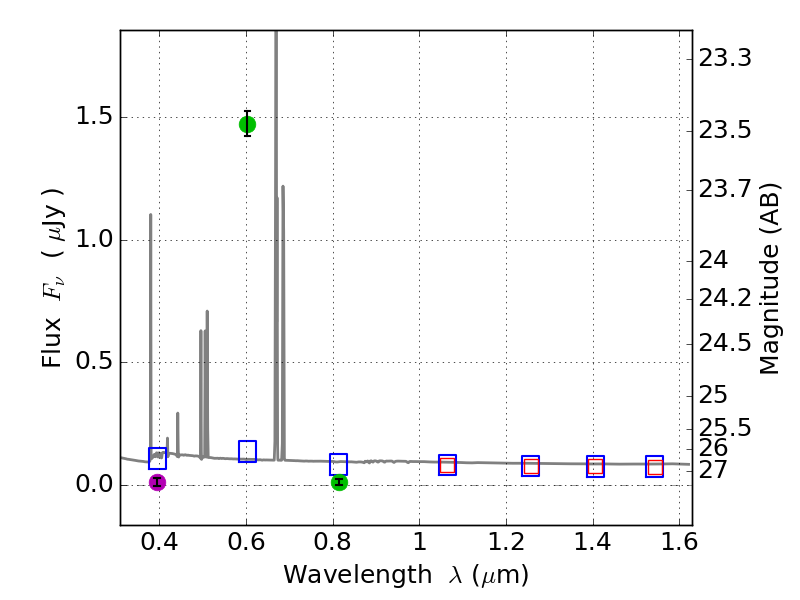
RXS0603+42-N IR detection object #3503

Color images and BPZ results
Catalog: 3503.cat
Black segments are analyzed here.   Roll mouse over color images to view segments.
Best viewed in a wide browser window (1200 pixels or more).   Download SED & P(z) plots to view larger versions.
In P(z) plots: Yellow lines mark the cluster redshift z = 0.228,  

Object #3503   x,y = (4547, 2374)   RA, Dec = (06:03:03.096, 42:15:39.96) = (90.76290, 42.26110)   BPZ = 0.022 [0.012--3.323]   type = 11.00 (SB11_A_0_l)   stellarity = 0.66   chisq2 = 735.80   ODDS = 0.38   z_cluster = 0.228