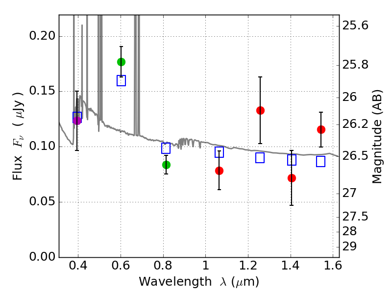
RXS0603+42-N IR detection object #3496

Color images and BPZ results
Catalog: 3496.cat
Black segments are analyzed here.   Roll mouse over color images to view segments.
Best viewed in a wide browser window (1200 pixels or more).   Download SED & P(z) plots to view larger versions.
In P(z) plots: Yellow lines mark the cluster redshift z = 0.228,  

Object #3496   x,y = (2303, 2377)   RA, Dec = (06:03:15.216, 42:15:40.32) = (90.81340, 42.26120)   BPZ = 0.025 [0.012--2.736]   type = 11.00 (SB11_A_0_l)   stellarity = 0.70   chisq2 = 1.83   ODDS = 0.47   z_cluster = 0.228