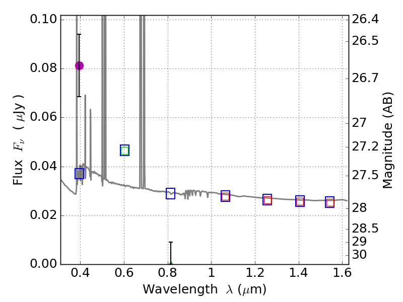
RXS0603+42-N IR detection object #3488

Color images and BPZ results
Catalog: 3488.cat
Black segments are analyzed here.   Roll mouse over color images to view segments.
Best viewed in a wide browser window (1200 pixels or more).   Download SED & P(z) plots to view larger versions.
In P(z) plots: Yellow lines mark the cluster redshift z = 0.228,  

Object #3488   x,y = (4559, 2370)   RA, Dec = (06:03:03.024, 42:15:39.96) = (90.76260, 42.26110)   BPZ = 0.027 [0.011--0.527]   type = 11.00 (SB11_A_0_l)   stellarity = 0.37   chisq2 = 20.37   ODDS = 0.83   z_cluster = 0.228