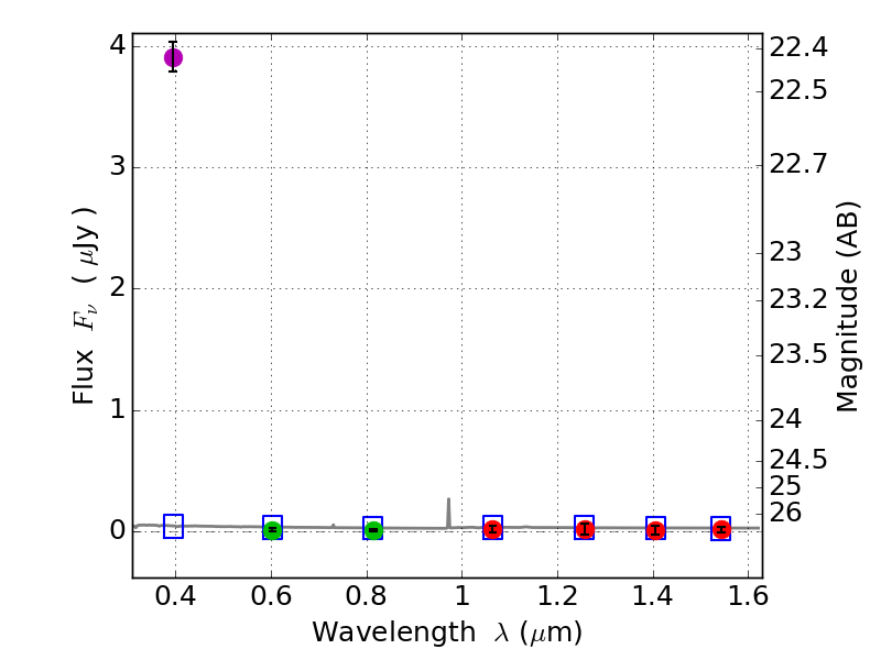
RXS0603+42-N IR detection object #3473

Color images and BPZ results
Catalog: 3473.cat
Black segments are analyzed here.   Roll mouse over color images to view segments.
Best viewed in a wide browser window (1200 pixels or more).   Download SED & P(z) plots to view larger versions.
In P(z) plots: Yellow lines mark the cluster redshift z = 0.228,  

Object #3473   x,y = (1631, 2384)   RA, Dec = (06:03:18.840, 42:15:40.68) = (90.82850, 42.26130)   BPZ = 1.611 [0.665--2.564]   type = 11.00 (SB11_A_0_l)   stellarity = 0.94   chisq2 = 259.60   ODDS = 0.23   z_cluster = 0.228