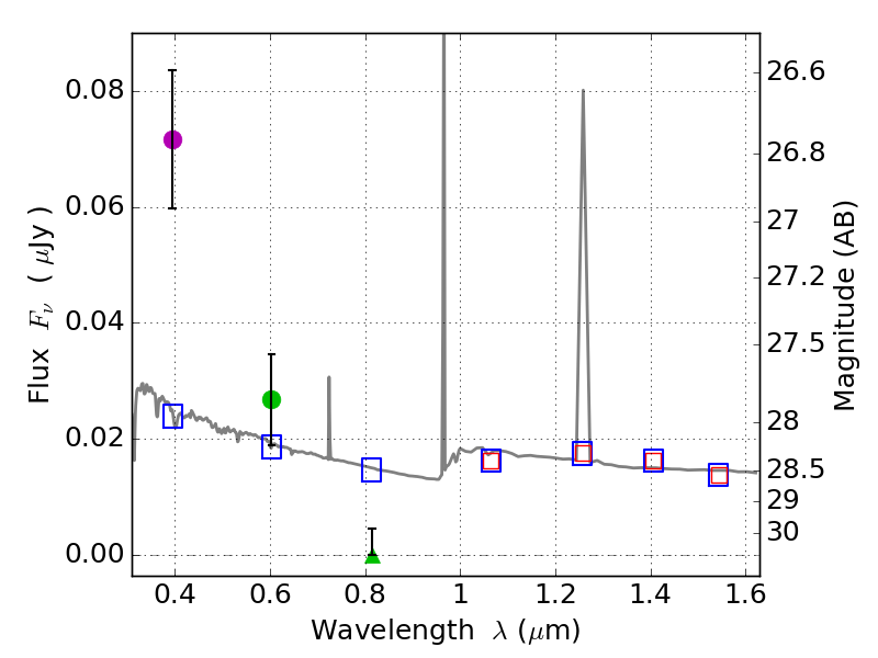
RXS0603+42-N IR detection object #3466

Color images and BPZ results
Catalog: 3466.cat
Black segments are analyzed here.   Roll mouse over color images to view segments.
Best viewed in a wide browser window (1200 pixels or more).   Download SED & P(z) plots to view larger versions.
In P(z) plots: Yellow lines mark the cluster redshift z = 0.228,  

Object #3466   x,y = (4018, 2387)   RA, Dec = (06:03:05.952, 42:15:41.04) = (90.77480, 42.26140)   BPZ = 1.595 [1.028--2.455]   type = 11.00 (SB11_A_0_l)   stellarity = 0.34   chisq2 = 26.20   ODDS = 0.25   z_cluster = 0.228