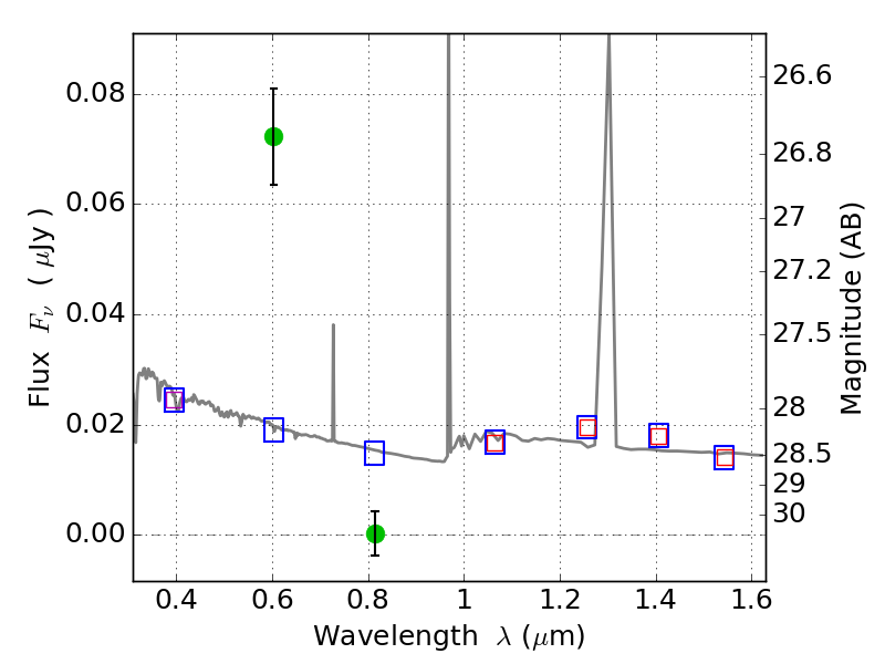
RXS0603+42-N IR detection object #3406

Color images and BPZ results
Catalog: 3406.cat
Black segments are analyzed here.   Roll mouse over color images to view segments.
Best viewed in a wide browser window (1200 pixels or more).   Download SED & P(z) plots to view larger versions.
In P(z) plots: Yellow lines mark the cluster redshift z = 0.228,  

Object #3406   x,y = (1521, 2407)   RA, Dec = (06:03:19.440, 42:15:42.12) = (90.83100, 42.26170)   BPZ = 1.597 [0.065--3.387]   type = 11.00 (SB11_A_0_l)   stellarity = 0.68   chisq2 = 47.37   ODDS = 0.13   z_cluster = 0.228