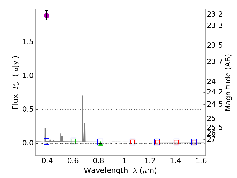
RXS0603+42-N IR detection object #340

Color images and BPZ results
Catalog: 340.cat
Black segments are analyzed here.   Roll mouse over color images to view segments.
Best viewed in a wide browser window (1200 pixels or more).   Download SED & P(z) plots to view larger versions.
In P(z) plots: Yellow lines mark the cluster redshift z = 0.228,  

Object #340   x,y = (2904, 3645)   RA, Dec = (06:03:11.952, 42:16:56.28) = (90.79980, 42.28230)   BPZ = 0.026 [0.013--0.785]   type = 11.00 (SB11_A_0_l)   stellarity = 0.84   chisq2 = 799.90   ODDS = 0.43   z_cluster = 0.228