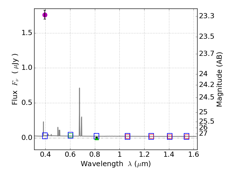
RXS0603+42-N IR detection object #34

Color images and BPZ results
Catalog: 34.cat
Black segments are analyzed here.   Roll mouse over color images to view segments.
Best viewed in a wide browser window (1200 pixels or more).   Download SED & P(z) plots to view larger versions.
In P(z) plots: Yellow lines mark the cluster redshift z = 0.228,  

Object #34   x,y = (2481, 3818)   RA, Dec = (06:03:14.256, 42:17:06.72) = (90.80940, 42.28520)   BPZ = 0.026 [0.012--0.764]   type = 11.00 (SB11_A_0_l)   stellarity = 1.00   chisq2 = 790.40   ODDS = 0.51   z_cluster = 0.228