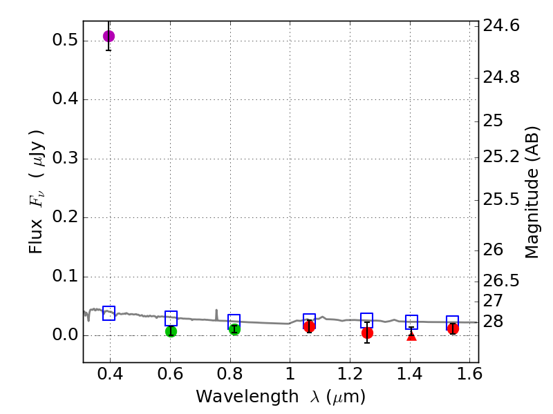
RXS0603+42-N IR detection object #3389

Color images and BPZ results
Catalog: 3389.cat
Black segments are analyzed here.   Roll mouse over color images to view segments.
Best viewed in a wide browser window (1200 pixels or more).   Download SED & P(z) plots to view larger versions.
In P(z) plots: Yellow lines mark the cluster redshift z = 0.228,  

Object #3389   x,y = (2236, 2410)   RA, Dec = (06:03:15.576, 42:15:42.48) = (90.81490, 42.26180)   BPZ = 1.702 [1.203--2.153]   type = 11.00 (SB11_A_0_l)   stellarity = 0.89   chisq2 = 90.76   ODDS = 0.52   z_cluster = 0.228