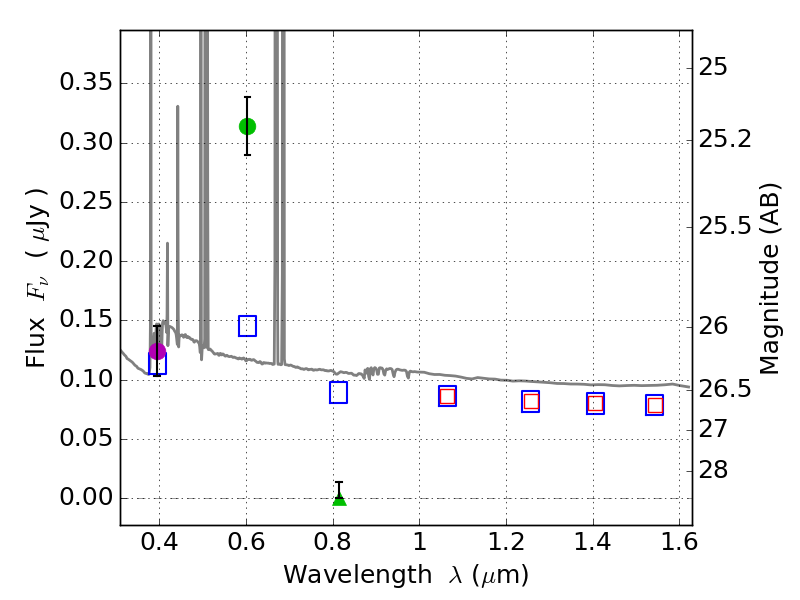
RXS0603+42-N IR detection object #3378

Color images and BPZ results
Catalog: 3378.cat
Black segments are analyzed here.   Roll mouse over color images to view segments.
Best viewed in a wide browser window (1200 pixels or more).   Download SED & P(z) plots to view larger versions.
In P(z) plots: Yellow lines mark the cluster redshift z = 0.228,  

Object #3378   x,y = (4552, 2400)   RA, Dec = (06:03:03.048, 42:15:41.76) = (90.76270, 42.26160)   BPZ = 0.021 [0.010--1.570]   type = 11.00 (SB11_A_0_l)   stellarity = 0.64   chisq2 = 69.18   ODDS = 0.97   z_cluster = 0.228