RXS0603+42-N IR detection object #3348

Color images and BPZ results
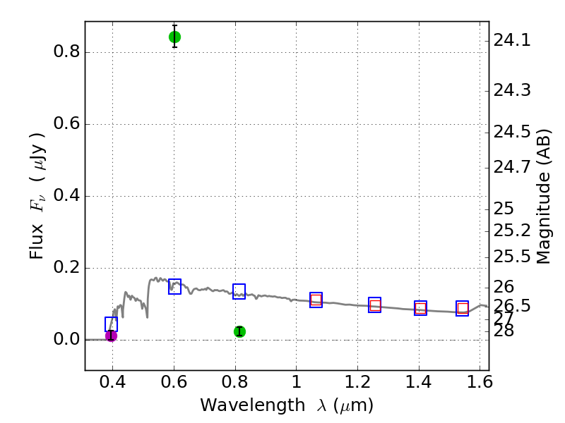
Catalog: 3348.cat
Black segments are analyzed here.   Roll mouse over color images to view segments.
Best viewed in a wide browser window (1200 pixels or more).   Download SED & P(z) plots to view larger versions.
In P(z) plots: Yellow lines mark the cluster redshift z = 0.228,  

Object #3348   x,y = (4573, 2428)   RA, Dec = (06:03:02.952, 42:15:43.20) = (90.76230, 42.26200)   BPZ = 3.229 [3.074--3.403]   type = 11.00 (SB11_A_0_l)   stellarity = 0.82   chisq2 = 503.50   ODDS = 0.96   z_cluster = 0.228