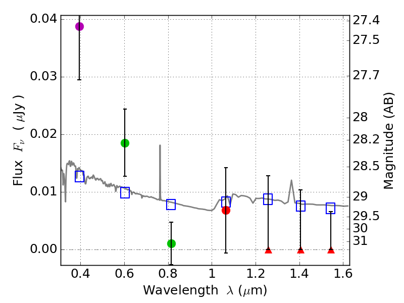
RXS0603+42-N IR detection object #3339

Color images and BPZ results
Catalog: 3339.cat
Black segments are analyzed here.   Roll mouse over color images to view segments.
Best viewed in a wide browser window (1200 pixels or more).   Download SED & P(z) plots to view larger versions.
In P(z) plots: Yellow lines mark the cluster redshift z = 0.228,  

Object #3339   x,y = (2901, 2431)   RA, Dec = (06:03:11.976, 42:15:43.56) = (90.79990, 42.26210)   BPZ = 1.735 [0.350--3.786]   type = 11.00 (SB11_A_0_l)   stellarity = 0.35   chisq2 = 3.85   ODDS = 0.18   z_cluster = 0.228