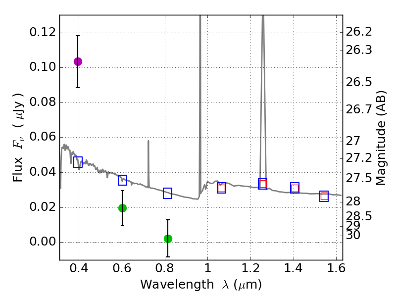
RXS0603+42-N IR detection object #3324

Color images and BPZ results
Catalog: 3324.cat
Black segments are analyzed here.   Roll mouse over color images to view segments.
Best viewed in a wide browser window (1200 pixels or more).   Download SED & P(z) plots to view larger versions.
In P(z) plots: Yellow lines mark the cluster redshift z = 0.228,  

Object #3324   x,y = (4520, 2435)   RA, Dec = (06:03:03.240, 42:15:43.92) = (90.76350, 42.26220)   BPZ = 1.595 [1.009--2.290]   type = 11.00 (SB11_A_0_l)   stellarity = 0.36   chisq2 = 22.21   ODDS = 0.25   z_cluster = 0.228