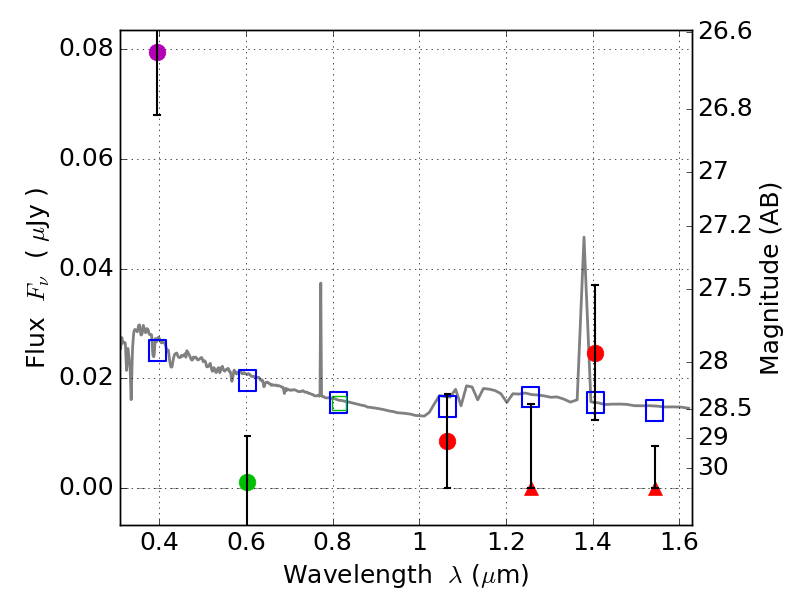
RXS0603+42-N IR detection object #3298

Color images and BPZ results
Catalog: 3298.cat
Black segments are analyzed here.   Roll mouse over color images to view segments.
Best viewed in a wide browser window (1200 pixels or more).   Download SED & P(z) plots to view larger versions.
In P(z) plots: Yellow lines mark the cluster redshift z = 0.228,  

Object #3298   x,y = (1902, 2446)   RA, Dec = (06:03:17.376, 42:15:44.28) = (90.82240, 42.26230)   BPZ = 1.761 [0.497--2.532]   type = 11.00 (SB11_A_0_l)   stellarity = 0.36   chisq2 = 10.57   ODDS = 0.26   z_cluster = 0.228