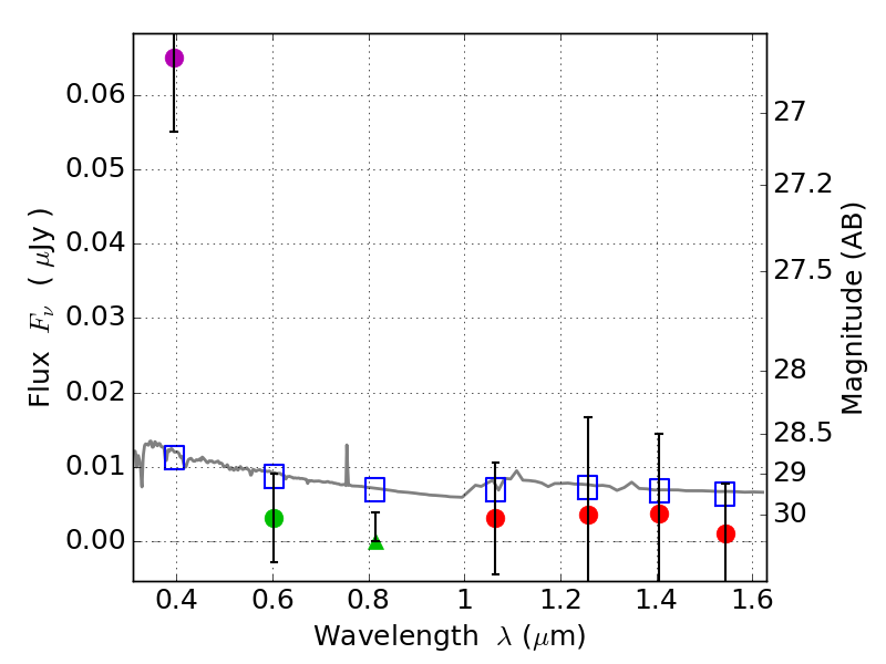
RXS0603+42-N IR detection object #3291

Color images and BPZ results
Catalog: 3291.cat
Black segments are analyzed here.   Roll mouse over color images to view segments.
Best viewed in a wide browser window (1200 pixels or more).   Download SED & P(z) plots to view larger versions.
In P(z) plots: Yellow lines mark the cluster redshift z = 0.228,  

Object #3291   x,y = (3051, 2449)   RA, Dec = (06:03:11.160, 42:15:44.64) = (90.79650, 42.26240)   BPZ = 1.700 [0.391--5.942]   type = 11.00 (SB11_A_0_l)   stellarity = 0.36   chisq2 = 8.40   ODDS = 0.15   z_cluster = 0.228