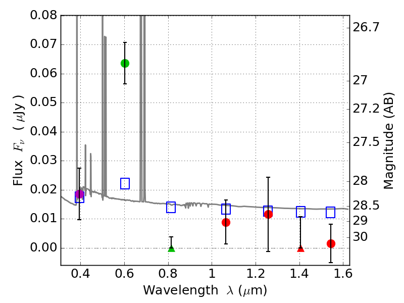
RXS0603+42-N IR detection object #3289

Color images and BPZ results
Catalog: 3289.cat
Black segments are analyzed here.   Roll mouse over color images to view segments.
Best viewed in a wide browser window (1200 pixels or more).   Download SED & P(z) plots to view larger versions.
In P(z) plots: Yellow lines mark the cluster redshift z = 0.228,  

Object #3289   x,y = (2750, 2449)   RA, Dec = (06:03:12.792, 42:15:44.64) = (90.80330, 42.26240)   BPZ = 0.028 [0.015--3.048]   type = 11.00 (SB11_A_0_l)   stellarity = 0.57   chisq2 = 12.00   ODDS = 0.28   z_cluster = 0.228