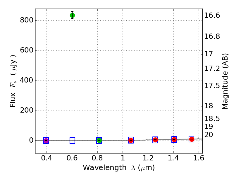
RXS0603+42-N IR detection object #3267

Color images and BPZ results
Catalog: 3267.cat
Black segments are analyzed here.   Roll mouse over color images to view segments.
Best viewed in a wide browser window (1200 pixels or more).   Download SED & P(z) plots to view larger versions.
In P(z) plots: Yellow lines mark the cluster redshift z = 0.228,  

Object #3267   x,y = (3878, 2346)   RA, Dec = (06:03:06.696, 42:15:38.52) = (90.77790, 42.26070)   BPZ = 2.187 [2.092--2.315]   type = 6.40 (Sbc_B10 - Scd_B10)   stellarity = 1.00   chisq2 = 286.30   ODDS = 0.97   z_cluster = 0.228