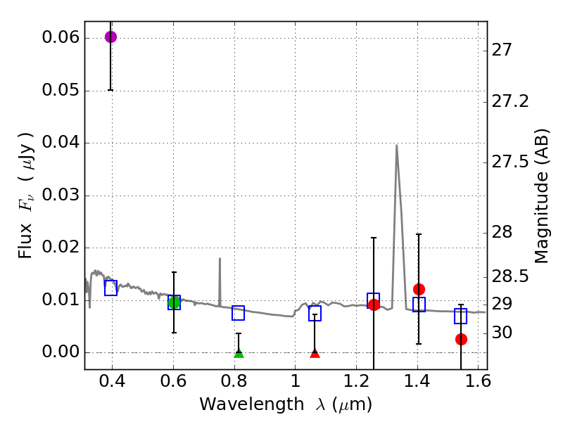
RXS0603+42-N IR detection object #3265

Color images and BPZ results
Catalog: 3265.cat
Black segments are analyzed here.   Roll mouse over color images to view segments.
Best viewed in a wide browser window (1200 pixels or more).   Download SED & P(z) plots to view larger versions.
In P(z) plots: Yellow lines mark the cluster redshift z = 0.228,  

Object #3265   x,y = (1961, 2458)   RA, Dec = (06:03:17.064, 42:15:45.36) = (90.82110, 42.26260)   BPZ = 1.695 [0.419--3.595]   type = 11.00 (SB11_A_0_l)   stellarity = 0.47   chisq2 = 6.85   ODDS = 0.19   z_cluster = 0.228