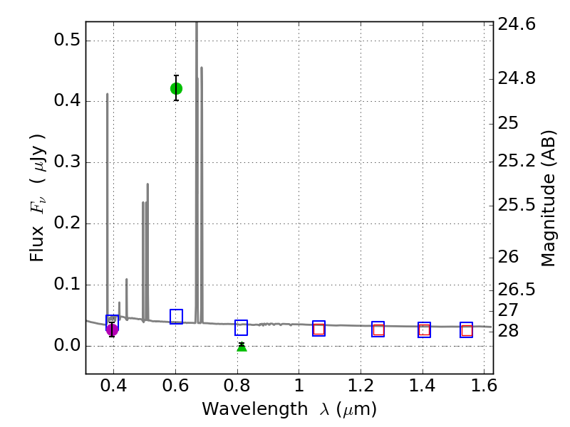
RXS0603+42-N IR detection object #326

Color images and BPZ results
Catalog: 326.cat
Black segments are analyzed here.   Roll mouse over color images to view segments.
Best viewed in a wide browser window (1200 pixels or more).   Download SED & P(z) plots to view larger versions.
In P(z) plots: Yellow lines mark the cluster redshift z = 0.228,  

Object #326   x,y = (2593, 3655)   RA, Dec = (06:03:13.656, 42:16:57.00) = (90.80690, 42.28250)   BPZ = 0.022 [0.010--1.716]   type = 11.00 (SB11_A_0_l)   stellarity = 0.68   chisq2 = 356.80   ODDS = 0.96   z_cluster = 0.228