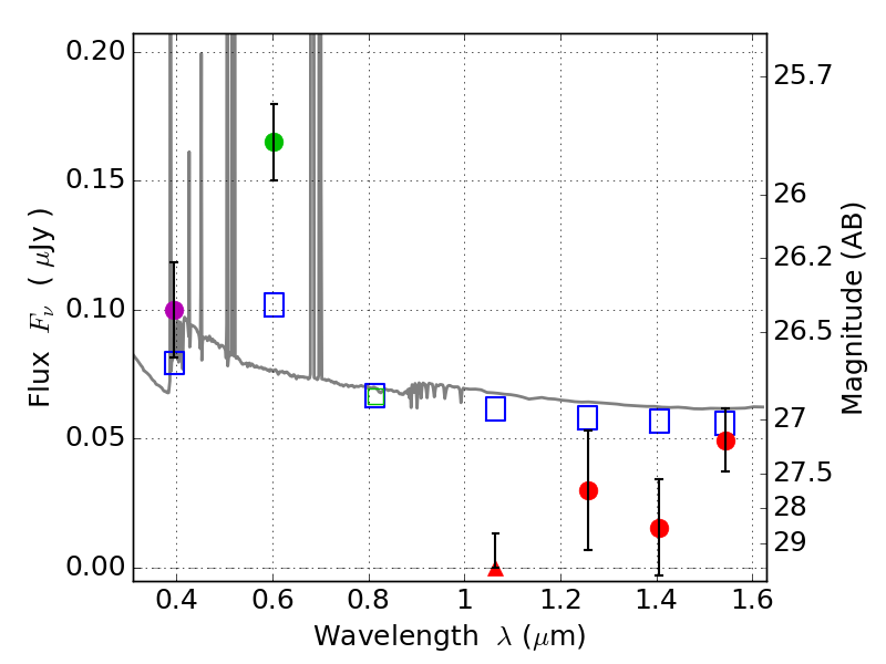
RXS0603+42-N IR detection object #3257

Color images and BPZ results
Catalog: 3257.cat
Black segments are analyzed here.   Roll mouse over color images to view segments.
Best viewed in a wide browser window (1200 pixels or more).   Download SED & P(z) plots to view larger versions.
In P(z) plots: Yellow lines mark the cluster redshift z = 0.228,  

Object #3257   x,y = (1757, 2461)   RA, Dec = (06:03:18.168, 42:15:45.36) = (90.82570, 42.26260)   BPZ = 0.040 [0.012--2.749]   type = 11.00 (SB11_A_0_l)   stellarity = 0.40   chisq2 = 13.07   ODDS = 0.81   z_cluster = 0.228