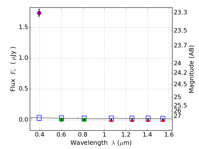
RXS0603+42-N IR detection object #3174

Color images and BPZ results
Catalog: 3174.cat
Black segments are analyzed here.   Roll mouse over color images to view segments.
Best viewed in a wide browser window (1200 pixels or more).   Download SED & P(z) plots to view larger versions.
In P(z) plots: Yellow lines mark the cluster redshift z = 0.228,  

Object #3174   x,y = (2062, 2487)   RA, Dec = (06:03:16.512, 42:15:46.80) = (90.81880, 42.26300)   BPZ = 1.700 [0.917--2.381]   type = 11.00 (SB11_A_0_l)   stellarity = 0.82   chisq2 = 233.80   ODDS = 0.37   z_cluster = 0.228