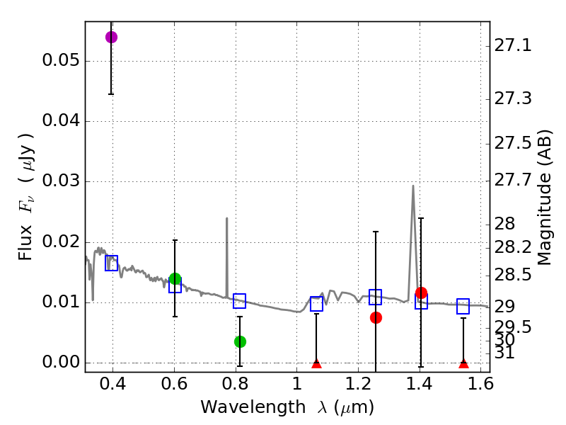
RXS0603+42-N IR detection object #3173

Color images and BPZ results
Catalog: 3173.cat
Black segments are analyzed here.   Roll mouse over color images to view segments.
Best viewed in a wide browser window (1200 pixels or more).   Download SED & P(z) plots to view larger versions.
In P(z) plots: Yellow lines mark the cluster redshift z = 0.228,  

Object #3173   x,y = (3066, 2524)   RA, Dec = (06:03:11.088, 42:15:48.96) = (90.79620, 42.26360)   BPZ = 1.761 [0.520--2.745]   type = 11.00 (SB11_A_0_l)   stellarity = 0.36   chisq2 = 5.20   ODDS = 0.24   z_cluster = 0.228