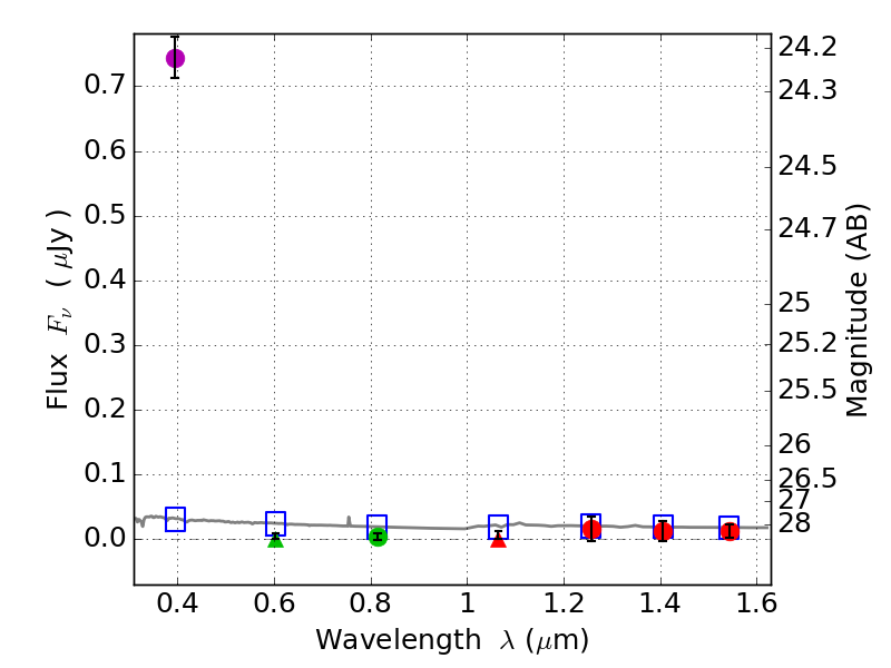
RXS0603+42-N IR detection object #3153

Color images and BPZ results
Catalog: 3153.cat
Black segments are analyzed here.   Roll mouse over color images to view segments.
Best viewed in a wide browser window (1200 pixels or more).   Download SED & P(z) plots to view larger versions.
In P(z) plots: Yellow lines mark the cluster redshift z = 0.228,  

Object #3153   x,y = (2052, 2494)   RA, Dec = (06:03:16.560, 42:15:47.16) = (90.81900, 42.26310)   BPZ = 1.698 [1.108--2.249]   type = 11.00 (SB11_A_0_l)   stellarity = 0.96   chisq2 = 133.80   ODDS = 0.39   z_cluster = 0.228