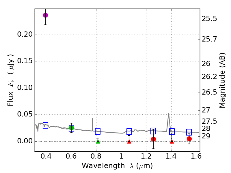
RXS0603+42-N IR detection object #3146

Color images and BPZ results
Catalog: 3146.cat
Black segments are analyzed here.   Roll mouse over color images to view segments.
Best viewed in a wide browser window (1200 pixels or more).   Download SED & P(z) plots to view larger versions.
In P(z) plots: Yellow lines mark the cluster redshift z = 0.228,  

Object #3146   x,y = (2098, 2495)   RA, Dec = (06:03:16.320, 42:15:47.52) = (90.81800, 42.26320)   BPZ = 1.763 [1.253--2.321]   type = 11.00 (SB11_A_0_l)   stellarity = 0.46   chisq2 = 34.43   ODDS = 0.41   z_cluster = 0.228