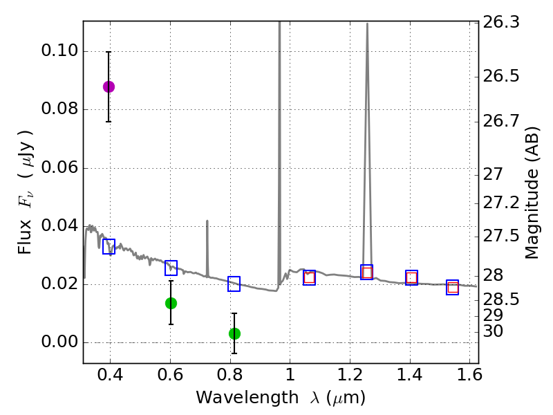
RXS0603+42-N IR detection object #3129

Color images and BPZ results
Catalog: 3129.cat
Black segments are analyzed here.   Roll mouse over color images to view segments.
Best viewed in a wide browser window (1200 pixels or more).   Download SED & P(z) plots to view larger versions.
In P(z) plots: Yellow lines mark the cluster redshift z = 0.228,  

Object #3129   x,y = (4428, 2497)   RA, Dec = (06:03:03.720, 42:15:47.52) = (90.76550, 42.26320)   BPZ = 1.595 [1.027--2.286]   type = 11.00 (SB11_A_0_l)   stellarity = 0.39   chisq2 = 28.00   ODDS = 0.26   z_cluster = 0.228