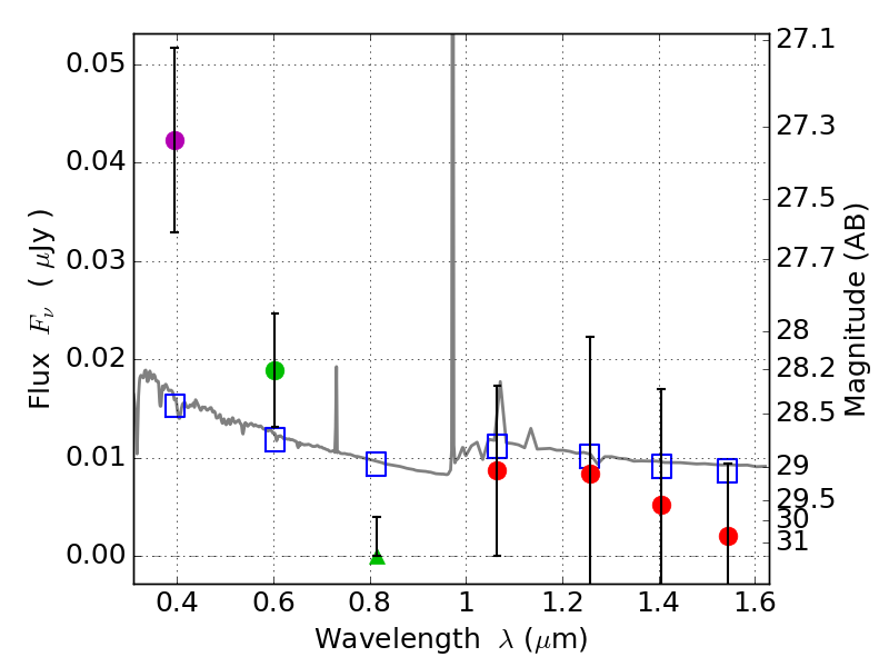
RXS0603+42-N IR detection object #3120

Color images and BPZ results
Catalog: 3120.cat
Black segments are analyzed here.   Roll mouse over color images to view segments.
Best viewed in a wide browser window (1200 pixels or more).   Download SED & P(z) plots to view larger versions.
In P(z) plots: Yellow lines mark the cluster redshift z = 0.228,  

Object #3120   x,y = (2325, 2505)   RA, Dec = (06:03:15.096, 42:15:47.88) = (90.81290, 42.26330)   BPZ = 1.612 [0.416--2.838]   type = 11.00 (SB11_A_0_l)   stellarity = 0.36   chisq2 = 3.94   ODDS = 0.21   z_cluster = 0.228