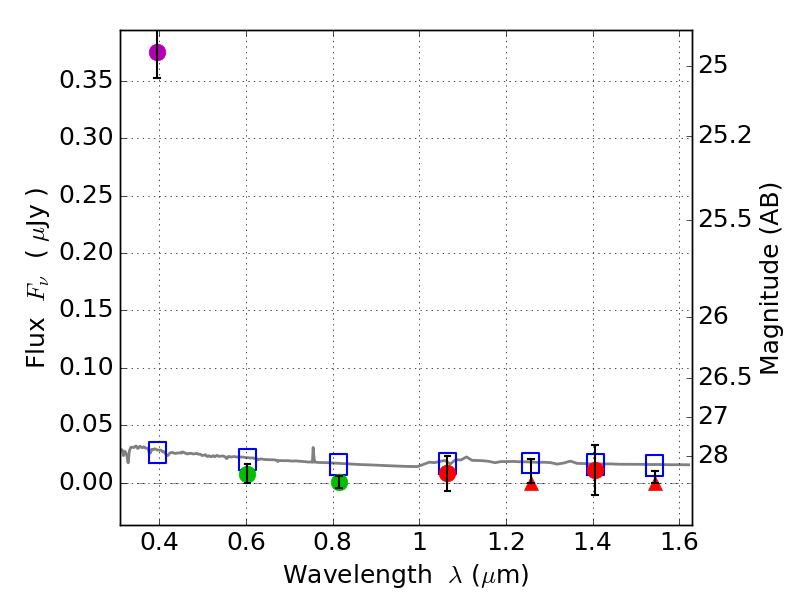
RXS0603+42-N IR detection object #3115

Color images and BPZ results
Catalog: 3115.cat
Black segments are analyzed here.   Roll mouse over color images to view segments.
Best viewed in a wide browser window (1200 pixels or more).   Download SED & P(z) plots to view larger versions.
In P(z) plots: Yellow lines mark the cluster redshift z = 0.228,  

Object #3115   x,y = (2060, 2506)   RA, Dec = (06:03:16.536, 42:15:47.88) = (90.81890, 42.26330)   BPZ = 1.701 [1.028--2.336]   type = 11.00 (SB11_A_0_l)   stellarity = 0.65   chisq2 = 58.39   ODDS = 0.41   z_cluster = 0.228