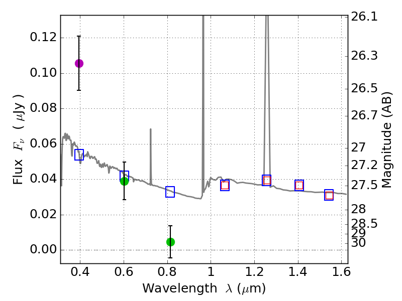
RXS0603+42-N IR detection object #3084

Color images and BPZ results
Catalog: 3084.cat
Black segments are analyzed here.   Roll mouse over color images to view segments.
Best viewed in a wide browser window (1200 pixels or more).   Download SED & P(z) plots to view larger versions.
In P(z) plots: Yellow lines mark the cluster redshift z = 0.228,  

Object #3084   x,y = (4438, 2509)   RA, Dec = (06:03:03.672, 42:15:48.24) = (90.76530, 42.26340)   BPZ = 1.595 [1.189--2.263]   type = 11.00 (SB11_A_0_l)   stellarity = 0.37   chisq2 = 19.15   ODDS = 0.30   z_cluster = 0.228