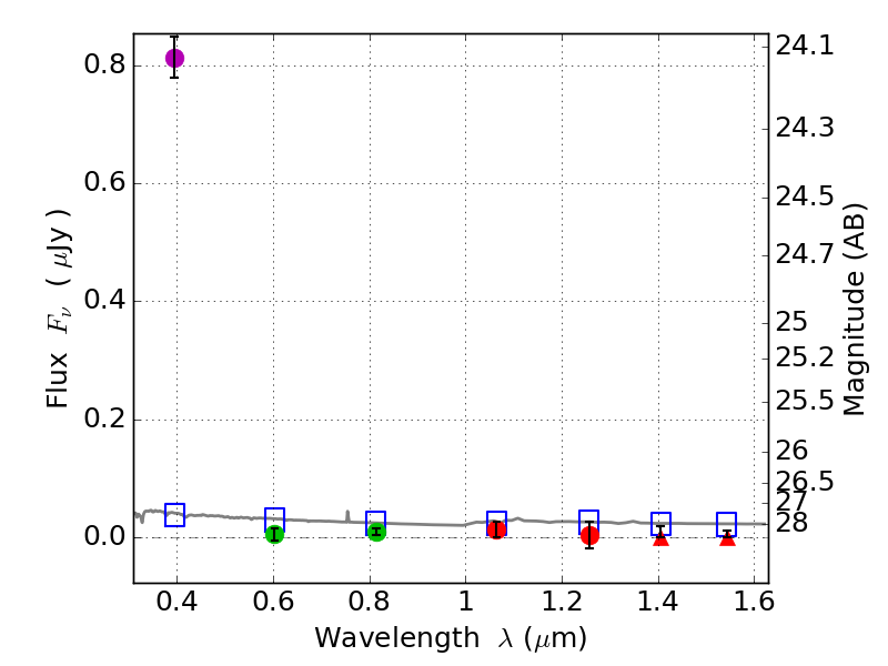
RXS0603+42-N IR detection object #3056

Color images and BPZ results
Catalog: 3056.cat
Black segments are analyzed here.   Roll mouse over color images to view segments.
Best viewed in a wide browser window (1200 pixels or more).   Download SED & P(z) plots to view larger versions.
In P(z) plots: Yellow lines mark the cluster redshift z = 0.228,  

Object #3056   x,y = (1703, 2541)   RA, Dec = (06:03:18.456, 42:15:50.04) = (90.82690, 42.26390)   BPZ = 1.702 [1.152--2.178]   type = 11.00 (SB11_A_0_l)   stellarity = 0.99   chisq2 = 130.90   ODDS = 0.52   z_cluster = 0.228