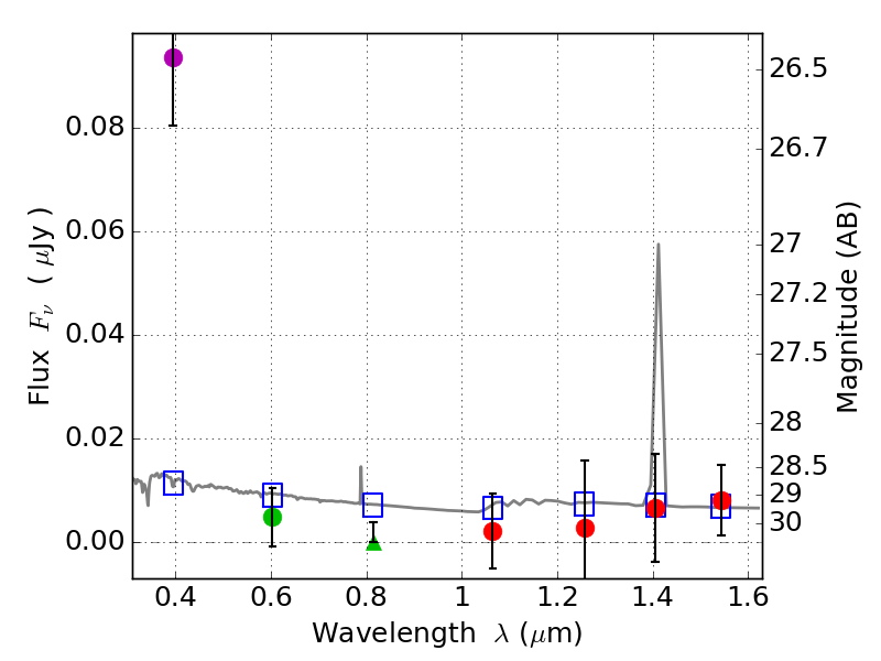
RXS0603+42-N IR detection object #3050

Color images and BPZ results
Catalog: 3050.cat
Black segments are analyzed here.   Roll mouse over color images to view segments.
Best viewed in a wide browser window (1200 pixels or more).   Download SED & P(z) plots to view larger versions.
In P(z) plots: Yellow lines mark the cluster redshift z = 0.228,  

Object #3050   x,y = (1895, 2545)   RA, Dec = (06:03:17.424, 42:15:50.40) = (90.82260, 42.26400)   BPZ = 1.825 [0.417--5.676]   type = 11.00 (SB11_A_0_l)   stellarity = 0.47   chisq2 = 10.62   ODDS = 0.14   z_cluster = 0.228