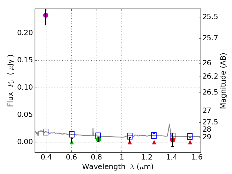
RXS0603+42-N IR detection object #3013

Color images and BPZ results
Catalog: 3013.cat
Black segments are analyzed here.   Roll mouse over color images to view segments.
Best viewed in a wide browser window (1200 pixels or more).   Download SED & P(z) plots to view larger versions.
In P(z) plots: Yellow lines mark the cluster redshift z = 0.228,  

Object #3013   x,y = (1955, 2558)   RA, Dec = (06:03:17.088, 42:15:51.12) = (90.82120, 42.26420)   BPZ = 1.763 [0.589--2.602]   type = 11.00 (SB11_A_0_l)   stellarity = 0.65   chisq2 = 37.31   ODDS = 0.26   z_cluster = 0.228