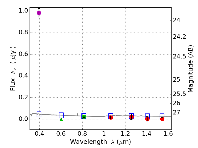
RXS0603+42-N IR detection object #3009

Color images and BPZ results
Catalog: 3009.cat
Black segments are analyzed here.   Roll mouse over color images to view segments.
Best viewed in a wide browser window (1200 pixels or more).   Download SED & P(z) plots to view larger versions.
In P(z) plots: Yellow lines mark the cluster redshift z = 0.228,  

Object #3009   x,y = (1730, 2555)   RA, Dec = (06:03:18.312, 42:15:51.12) = (90.82630, 42.26420)   BPZ = 1.701 [0.923--2.140]   type = 11.00 (SB11_A_0_l)   stellarity = 0.70   chisq2 = 146.60   ODDS = 0.49   z_cluster = 0.228