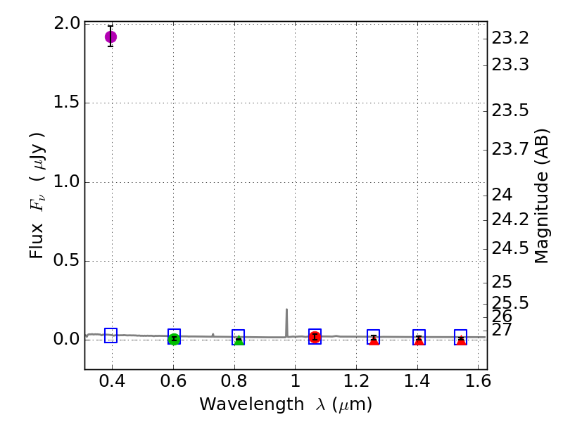
RXS0603+42-N IR detection object #2981

Color images and BPZ results
Catalog: 2981.cat
Black segments are analyzed here.   Roll mouse over color images to view segments.
Best viewed in a wide browser window (1200 pixels or more).   Download SED & P(z) plots to view larger versions.
In P(z) plots: Yellow lines mark the cluster redshift z = 0.228,  

Object #2981   x,y = (1714, 2569)   RA, Dec = (06:03:18.408, 42:15:51.84) = (90.82670, 42.26440)   BPZ = 1.612 [0.728--2.493]   type = 11.00 (SB11_A_0_l)   stellarity = 0.67   chisq2 = 218.60   ODDS = 0.28   z_cluster = 0.228