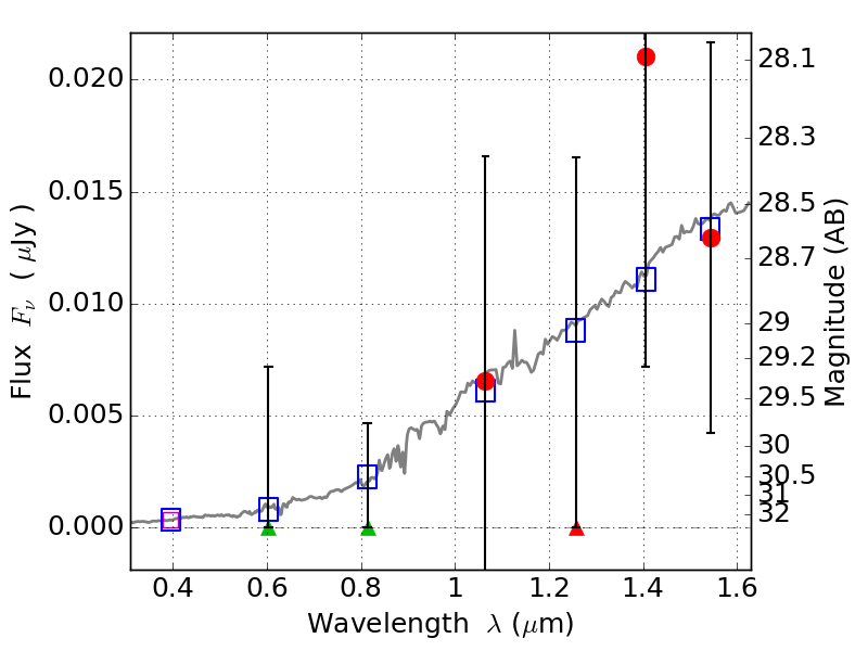
RXS0603+42-N IR detection object #2905

Color images and BPZ results
Catalog: 2905.cat
Black segments are analyzed here.   Roll mouse over color images to view segments.
Best viewed in a wide browser window (1200 pixels or more).   Download SED & P(z) plots to view larger versions.
In P(z) plots: Yellow lines mark the cluster redshift z = 0.228,  

Object #2905   x,y = (1764, 2592)   RA, Dec = (06:03:18.120, 42:15:53.28) = (90.82550, 42.26480)   BPZ = 1.252 [0.380--8.780]   type = 6.00 (Sbc_B10)   stellarity = 0.73   chisq2 = 0.35   ODDS = 0.07   z_cluster = 0.228