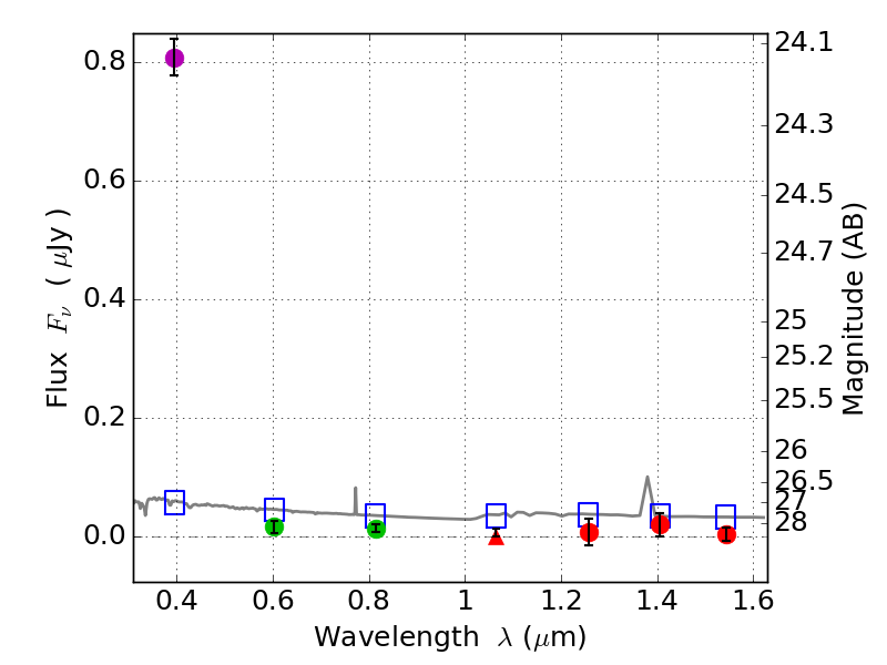
RXS0603+42-N IR detection object #2884

Color images and BPZ results
Catalog: 2884.cat
Black segments are analyzed here.   Roll mouse over color images to view segments.
Best viewed in a wide browser window (1200 pixels or more).   Download SED & P(z) plots to view larger versions.
In P(z) plots: Yellow lines mark the cluster redshift z = 0.228,  

Object #2884   x,y = (3291, 2597)   RA, Dec = (06:03:09.864, 42:15:53.64) = (90.79110, 42.26490)   BPZ = 1.763 [1.540--2.062]   type = 11.00 (SB11_A_0_l)   stellarity = 0.86   chisq2 = 154.90   ODDS = 0.61   z_cluster = 0.228