RXS0603+42-N IR detection object #2878

Color images and BPZ results
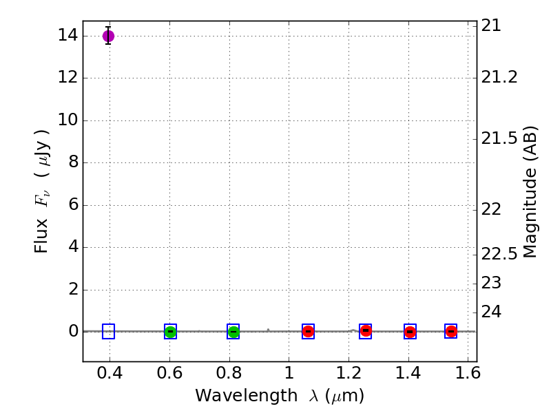
Catalog: 2878.cat
Black segments are analyzed here.   Roll mouse over color images to view segments.
Best viewed in a wide browser window (1200 pixels or more).   Download SED & P(z) plots to view larger versions.
In P(z) plots: Yellow lines mark the cluster redshift z = 0.228,  

Object #2878   x,y = (1816, 2601)   RA, Dec = (06:03:17.856, 42:15:53.64) = (90.82440, 42.26490)   BPZ = 1.498 [0.427--7.806]   type = 11.00 (SB11_A_0_l)   stellarity = 1.00   chisq2 = 287.40   ODDS = 0.09   z_cluster = 0.228