RXS0603+42-N IR detection object #2869

Color images and BPZ results
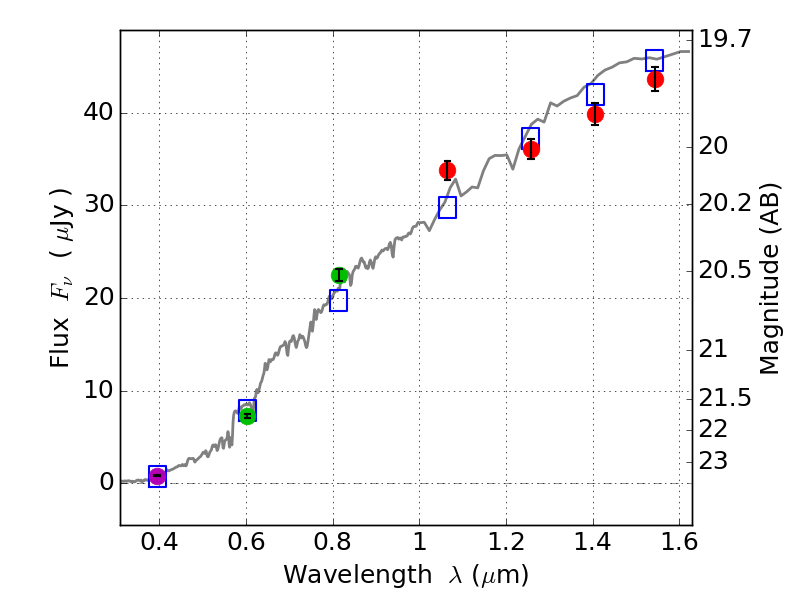
Catalog: 2869.cat
Black segments are analyzed here.   Roll mouse over color images to view segments.
Best viewed in a wide browser window (1200 pixels or more).   Download SED & P(z) plots to view larger versions.
In P(z) plots: Yellow lines mark the cluster redshift z = 0.228,  

Object #2869   x,y = (3516, 2593)   RA, Dec = (06:03:08.664, 42:15:53.28) = (90.78610, 42.26480)   BPZ = 0.435 [0.377--0.462]   type = 4.00 (Ell4_A_0)   stellarity = 0.98   chisq2 = 0.83   ODDS = 0.98   z_cluster = 0.228