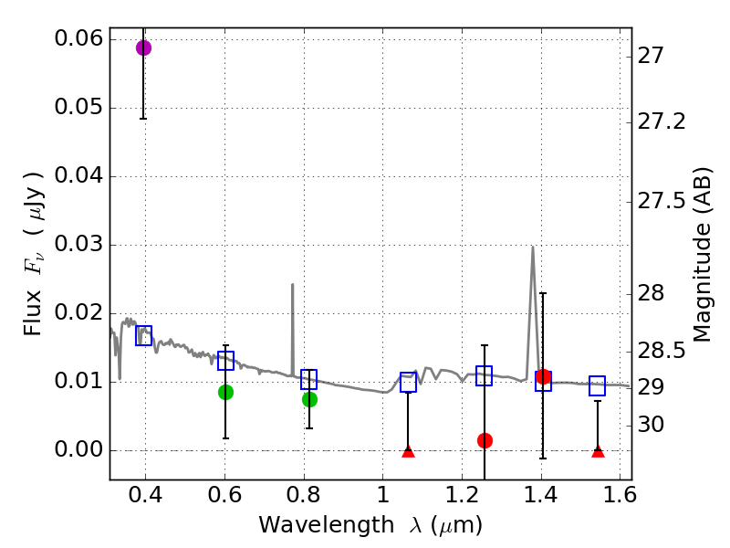
RXS0603+42-N IR detection object #2866

Color images and BPZ results
Catalog: 2866.cat
Black segments are analyzed here.   Roll mouse over color images to view segments.
Best viewed in a wide browser window (1200 pixels or more).   Download SED & P(z) plots to view larger versions.
In P(z) plots: Yellow lines mark the cluster redshift z = 0.228,  

Object #2866   x,y = (3427, 2670)   RA, Dec = (06:03:09.144, 42:15:57.96) = (90.78810, 42.26610)   BPZ = 1.762 [0.348--2.833]   type = 11.00 (SB11_A_0_l)   stellarity = 0.37   chisq2 = 5.12   ODDS = 0.20   z_cluster = 0.228