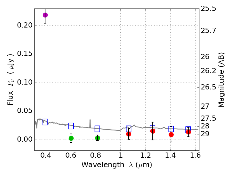
RXS0603+42-N IR detection object #2787

Color images and BPZ results
Catalog: 2787.cat
Black segments are analyzed here.   Roll mouse over color images to view segments.
Best viewed in a wide browser window (1200 pixels or more).   Download SED & P(z) plots to view larger versions.
In P(z) plots: Yellow lines mark the cluster redshift z = 0.228,  

Object #2787   x,y = (2838, 2640)   RA, Dec = (06:03:12.312, 42:15:56.16) = (90.80130, 42.26560)   BPZ = 1.700 [1.267--2.162]   type = 11.00 (SB11_A_0_l)   stellarity = 0.71   chisq2 = 44.09   ODDS = 0.48   z_cluster = 0.228