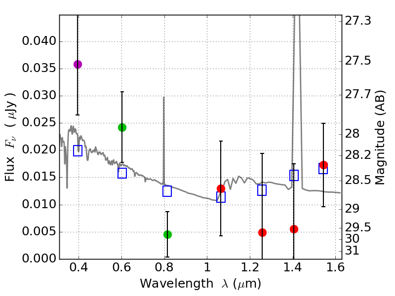
RXS0603+42-N IR detection object #2768

Color images and BPZ results
Catalog: 2768.cat
Black segments are analyzed here.   Roll mouse over color images to view segments.
Best viewed in a wide browser window (1200 pixels or more).   Download SED & P(z) plots to view larger versions.
In P(z) plots: Yellow lines mark the cluster redshift z = 0.228,  

Object #2768   x,y = (2214, 2647)   RA, Dec = (06:03:15.696, 42:15:56.52) = (90.81540, 42.26570)   BPZ = 1.854 [0.713--2.798]   type = 11.00 (SB11_A_0_l)   stellarity = 0.37   chisq2 = 2.19   ODDS = 0.20   z_cluster = 0.228