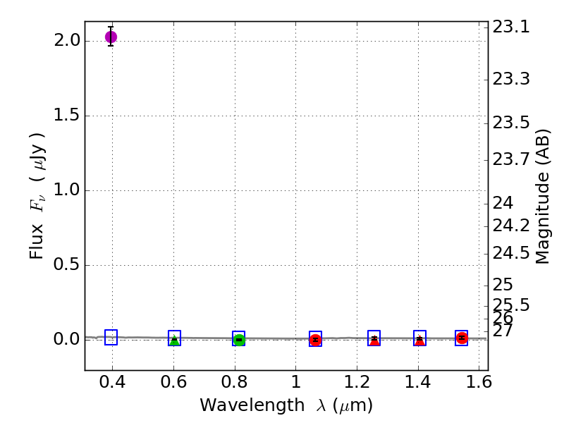
RXS0603+42-N IR detection object #2742

Color images and BPZ results
Catalog: 2742.cat
Black segments are analyzed here.   Roll mouse over color images to view segments.
Best viewed in a wide browser window (1200 pixels or more).   Download SED & P(z) plots to view larger versions.
In P(z) plots: Yellow lines mark the cluster redshift z = 0.228,  

Object #2742   x,y = (1776, 2658)   RA, Dec = (06:03:18.072, 42:15:57.24) = (90.82530, 42.26590)   BPZ = 1.856 [0.541--5.449]   type = 11.00 (SB11_A_0_l)   stellarity = 0.84   chisq2 = 235.40   ODDS = 0.17   z_cluster = 0.228