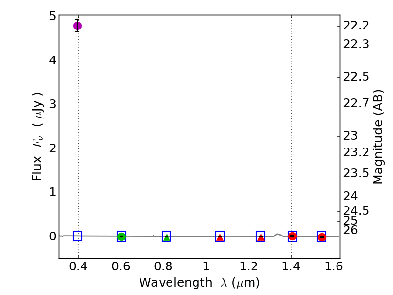
RXS0603+42-N IR detection object #2741

Color images and BPZ results
Catalog: 2741.cat
Black segments are analyzed here.   Roll mouse over color images to view segments.
Best viewed in a wide browser window (1200 pixels or more).   Download SED & P(z) plots to view larger versions.
In P(z) plots: Yellow lines mark the cluster redshift z = 0.228,  

Object #2741   x,y = (1780, 2658)   RA, Dec = (06:03:18.048, 42:15:57.24) = (90.82520, 42.26590)   BPZ = 1.695 [0.320--5.101]   type = 11.00 (SB11_A_0_l)   stellarity = 0.90   chisq2 = 278.90   ODDS = 0.14   z_cluster = 0.228