RXS0603+42-N IR detection object #2727

Color images and BPZ results
Catalog: 2727.cat
Black segments are analyzed here.   Roll mouse over color images to view segments.
Best viewed in a wide browser window (1200 pixels or more).   Download SED & P(z) plots to view larger versions.
In P(z) plots: Yellow lines mark the cluster redshift z = 0.228,  

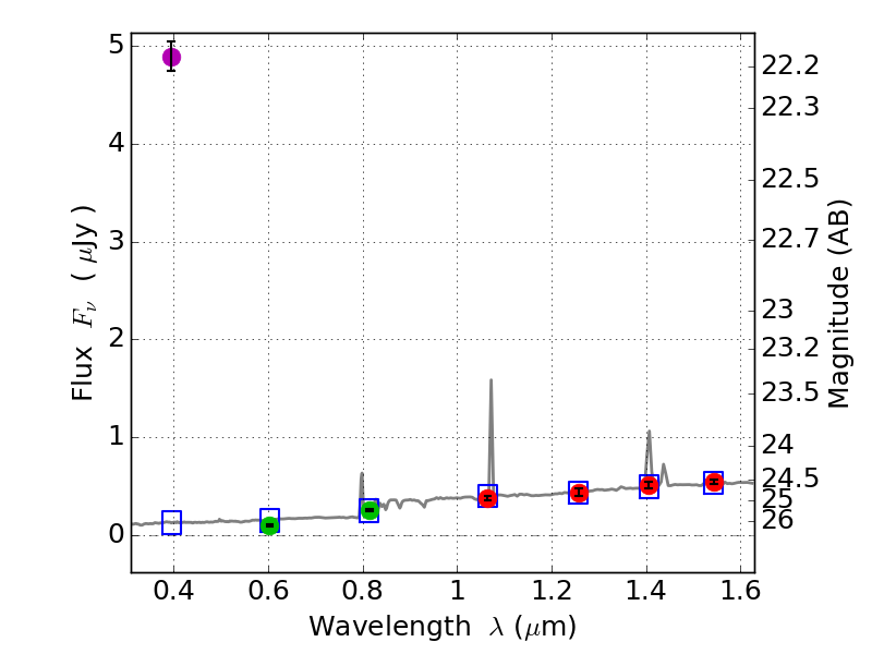
Object #2727   x,y = (1768, 2640)   RA, Dec = (06:03:18.096, 42:15:56.16) = (90.82540, 42.26560)   BPZ = 1.145 [1.026--1.326]   type = 8.70 (SB2_B10 - SB1_B10)   stellarity = 0.92   chisq2 = 247.90   ODDS = 0.79   z_cluster = 0.228