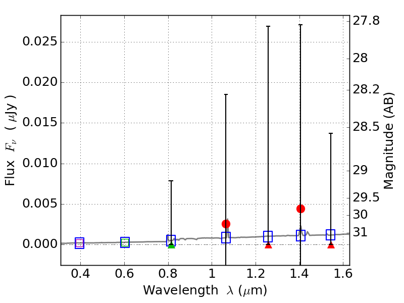
RXS0603+42-N IR detection object #2704

Color images and BPZ results
Catalog: 2704.cat
Black segments are analyzed here.   Roll mouse over color images to view segments.
Best viewed in a wide browser window (1200 pixels or more).   Download SED & P(z) plots to view larger versions.
In P(z) plots: Yellow lines mark the cluster redshift z = 0.228,  

Object #2704   x,y = (1615, 2666)   RA, Dec = (06:03:18.936, 42:15:57.60) = (90.82890, 42.26600)   BPZ = 1.137 [0.323--8.676]   type = 8.00 (SB1_B10)   stellarity = 0.90   chisq2 = 900.00   ODDS = 0.05   z_cluster = 0.228