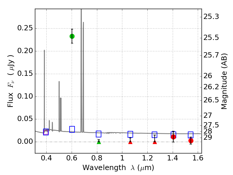
RXS0603+42-N IR detection object #2691

Color images and BPZ results
Catalog: 2691.cat
Black segments are analyzed here.   Roll mouse over color images to view segments.
Best viewed in a wide browser window (1200 pixels or more).   Download SED & P(z) plots to view larger versions.
In P(z) plots: Yellow lines mark the cluster redshift z = 0.228,  

Object #2691   x,y = (1621, 2673)   RA, Dec = (06:03:18.912, 42:15:57.96) = (90.82880, 42.26610)   BPZ = 0.026 [0.013--3.197]   type = 11.00 (SB11_A_0_l)   stellarity = 0.74   chisq2 = 65.88   ODDS = 0.41   z_cluster = 0.228